
國家高新技術企業
廣東專精特新企業
英文站
網站地圖
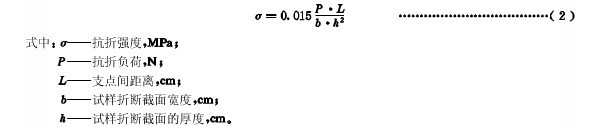
陶瓷材料,被廣泛應用于電子元器件領域,如裝置零件、電子管、電阻基體、半導體及集成電路等場合。國標GB/T 5593-1996就是關于電子元器件結構陶瓷材料的相關規定。其中,陶瓷材料有抗折強度的性能要求,其試驗數據通過試驗機來測量。
測量陶瓷材料抗折強度時,支點間的距離應為5cm,負荷加載樣品中心,負荷增加的速度不大于39N/s,測量誤差不超過正負10%。
抗折強度計算公式:

